ประชาสัมพันธ์ เรื่องรายงานผลการผลการดำเนินงาน ประจำปีงบประมาณ พ.ศ. 2569
12 มกราคม 2569ประเภท : ข่าวประชาสัมพันธ์
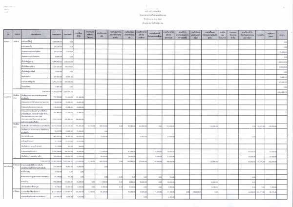
ข้อมูลรูปที่เกี่ยวข้อง
ประชาสัมพันธ์ เรื่องรายงานผลการผลการดำเนินงาน ประจำปีงบประมาณ พ.ศ. 2569












ประชาสัมพันธ์ เรื่องรายงานผลการผลการดำเนินงาน ประจำปีงบประมาณ พ.ศ. 2569